化妆品评价-备案
利用斑马鱼评价化妆品温和效果
2025-08-19
斑马鱼与人类具有非常相似的免疫系统,利用转基因荧光标记技术将斑马鱼体内中性粒细胞进行荧光标记,当供试品接触到斑马鱼皮肤时···
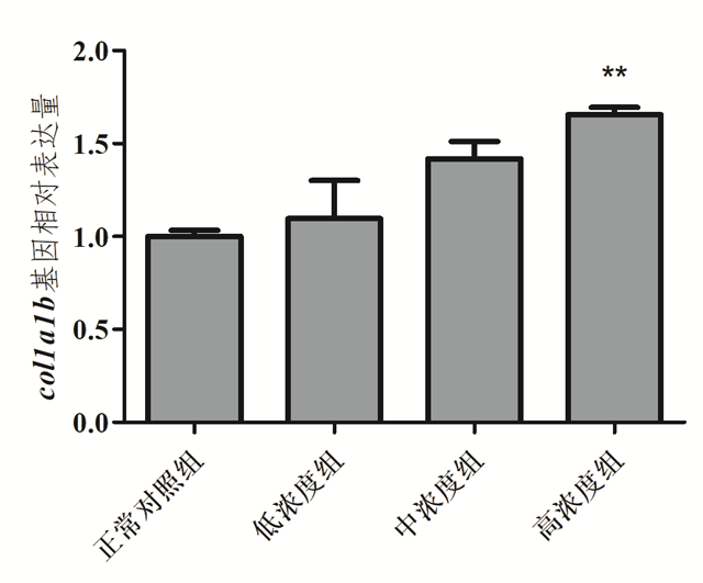
利用斑马鱼评价供试品抗皱功效
2025-08-19
皮肤皱纹的出现与胶原蛋白的正常合成和表达密切相关。通过检测斑马鱼胶原蛋白基因RNA的相对表达量可以反映供试品的抗皱功效。
利用斑马鱼评价化妆品紧致功效
2025-08-19
斑马鱼具有与人高度保守的调控弹性蛋白的基因,通过检测斑马鱼弹性蛋白基因RNA的相对表达量可以反映护肤产品的紧致功效。
斑马鱼模型评价婴幼儿护肤品的安全性
2025-08-19
婴幼儿护肤品关注的焦点是产品的安全性。斑马鱼与人类的皮肤结构和功能高度相似,可以用于评价婴幼儿护肤产品的安全性。测试方法···
利用斑马鱼评价孕妇用化妆品的安全性
2025-08-19
孕妇用化妆品的潜在安全性区别于常规化妆品主要体现在对化妆品的生殖毒性方面,利用斑马鱼技术可以对孕妇用化妆品进行安全性评价···
利用斑马鱼模型评价化妆品抗氧化作用
2025-08-19
人体皮肤逐渐衰老是活性氧自由基对皮肤的长期氧化作用,具有抗氧化活性的化妆品能够清除皮肤表面自由基,通过斑马鱼技术可以有效···
利用斑马鱼模型评价化妆品美白作用
2025-08-19
人体皮肤变黑的主要原因是酪氨酸酶的存在促进了黑色素的合成和黑色素基因的表达,而在斑马鱼皮肤上也有类似的表达过程,因此,可···
利用斑马鱼模型评价化妆品祛斑作用
2025-08-19
人体皮肤出现的雀斑、日晒斑、黄褐斑等色斑。祛斑功效实质上是对黑色素的清除作用。通过班斑马鱼技术能简洁而有效的评价化妆品的···
利用斑马鱼模型评价化妆品伤口愈合功效
2025-08-19
产生皮肤组织的结构性破坏,斑马鱼尾鳍具有自我再生功能,通过对尾鳍再生速度的观察可以评价受试物促进组织再生功效。
利用斑马鱼模型评价化妆品提亮肤色功效
2025-08-19
肤色暗沉是体内外多种因素共同作用的结果,由活性氧自由基引起的氧化应激反应,导致皮肤色素沉着,看上去黯淡无光。通过斑马鱼技···