化妆品评价-备案
斑马鱼模型评价化妆品急性胚胎毒性
2025-08-19
斑马鱼早期发育阶段的胚胎期是其对外界环境敏感的阶段,斑马鱼的急性胚胎毒性对于化妆品的安全性评价具有重要的实际意义。
利用斑马鱼模型评价化妆品雌激素
2025-08-19
【评价结论】1、经过各组斑马鱼的对比实验,雌激素处理组斑马鱼的肝脏部位出现明显的绿色荧光,与正常对照组存在明显的差别;2、···
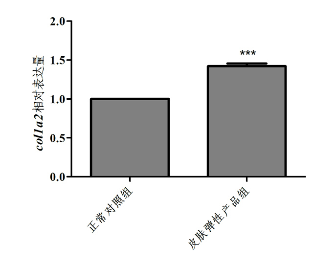
利用斑马鱼模型评价增加皮肤弹性功效
2025-08-19
【评价结论】1.经过每组30尾斑马鱼的对比实验,服用皮肤弹性产品组的col1a2基因、col1a1a和col1a1b基因相对表达量较正常对照组明···
利用斑马鱼模型评价舒缓(炎症修复)功效
2025-08-19
【评价结论】1.经过每组30尾斑马鱼的对比实验,使用舒缓剂组的皮肤中性粒细胞数量比模型对照组明显减少。2.本实验证实了阿司匹林···
利用斑马鱼模型评价提亮肤色功效
2025-08-19
【评价结论】1.经过每组30尾斑马鱼的对比实验,提亮肤色产品组色素沉着情况与正常对照组相似,并未出现模型对照组色素沉着严重的···
利用斑马鱼模型评价美白淡斑功效
2025-08-19
【评价结论】1.经过每组30尾斑马鱼的对比实验,服用美白淡斑产品组的色素相比正常对照组明显减少。2.本实验证实了熊果苷、曲酸美···
利用斑马鱼模型评价防晒(晒后修复)功效
2025-08-19
【评价结论】1.经过每组30尾斑马鱼的对比实验,使用防晒剂组的尾鳍面积、凋亡细胞个数与未照射紫外线的正常对照组比较相似,没有···
利用斑马鱼模型评价促进伤口愈合功效
2025-08-19
【评价结论】1.经过每组30尾斑马鱼的对比实验,服用伤口愈合促进剂组的黑色素募集情况较模型对照组明显减轻,cola1b相对表达量也···
利用斑马鱼模型评价补水保湿功效
2025-08-19
【评价结论】1.经过每组30尾斑马鱼的对比实验,服用补水保湿剂组的尾部面积与未摄入氯化钠的正常对照组相似,并未出现模型对照组···
利用斑马鱼模型检测类雌激素物质
2025-08-19
【评价结论】1.经过每组30尾斑马鱼的对比实验,摄入含类雌激素物质的供试品组斑马鱼肝脏荧光明显,与正常对照组存在明显差别。2.···