【评价原理】
免疫毒性是指化合物对机体免疫系统的损伤作用,包括两类,一是免疫抑制,即免疫系统的广泛抑制,可致机体对感染的易感性增加及肿瘤发生率增高;另一是免疫增强,即免疫系统反应性过度增强,可能包括免疫性产生,过敏反应(超敏反应或变态反应)、自身免疫反应以及不良免疫刺激等。
斑马鱼具有先天免疫系统和获得性免疫系统,与果蝇和线虫模型相比,斑马鱼的免疫系统发育的更完整。研究证实斑马鱼与哺乳动物一样,具有T细胞、B细胞、自然杀伤细胞,其免疫系统对于环境中的免疫毒性物质(包括哺乳动物)非常的敏感。
免疫毒性指标有3个:(1)应用转基因中性粒细胞绿色荧光斑马鱼,观察中性粒细胞数量;(2)应用转基因巨噬细胞绿色荧光斑马鱼,观察巨噬细胞数量(荧光强度);(3)注射红色荧光微球,巨噬细胞吞噬微球排出体外,用体内微球的数量反映巨噬细胞吞噬功能。(4)检测T/B相关基因(rag1和rag2)表达。
【实验方案】
我们将受测试斑马鱼分成二组,分别是正常对照和服用/注射供试品组(供试品通过溶解到养鱼用水中或注射的方式摄入到斑马鱼体内)。
服用/注射供试品一段时间后,我们对斑马鱼检测中性粒细胞和巨噬细胞计数、巨噬细胞吞噬功能和T/B相关基因(rag1和rag2)表达。
【结果展示】
(1)中性粒细胞数量

图1. 斑马鱼中性粒细胞表型图
绿色小点为中性粒细胞
可以看到,服用供试品组斑马鱼体内中性粒细胞数量比正常对照组明显减少。
(2)巨噬细胞数量

图2. 斑马鱼巨噬细胞表型图
可以看到,服用供试品组斑马鱼体内巨噬细胞数量比正常对照组明显减少。
(3)巨噬细胞吞噬功能

图3. 斑马鱼巨噬细胞表型图
可以看到,服用供试品组的吞噬颗粒的巨噬细胞数量与正常对照组比较有明显减少,说明巨噬细胞吞噬功能下降。
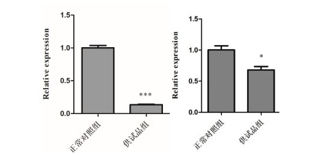
(4)T/B相关基因表达(rag1和rag2)

图4. 斑马鱼rag1和rag2表达
左图为rag1基因相对表达量,右图为rag2基因相对表达量
可以看到,服用供试品组的rag1和rag2相对表达量与正常对照组比较均有减少。
【评价结论】
1.经过每组30尾斑马鱼的对比实验,服用供试品组的中性粒细胞和巨噬细胞数量与正常对照组比较均有减少,其巨噬细胞吞噬功能有所下降,且rag1和rag2相对表达量减少。
2.本实验证实了该供试品具有免疫毒性。
上一条:利用斑马鱼模型评价骨毒性
下一条:利用斑马鱼模型评价神经毒性