【评价原理】
体力疲劳常表现为肌肉出现僵硬、肿胀和疼痛,动作慢、不协调;反应迟钝,判断错误,注意力不集中等。斑马鱼大部分器官的作用机理与人类高度相似,而且斑马鱼生长发育周期短,器官发育较快,有利于开展缓解体力疲劳功效的研究。亚硫酸钠通过化学反应消耗水中的氧气,造成水中斑马鱼缺氧,经过一段时间诱发缺氧性疲劳。斑马鱼在氧气不足的情况下,机体自发活动将会减弱,同时,肌肉贮备糖原无氧酵解生成乳酸,乳酸堆积可使局部H+浓度升高,过量H+直接作用于肌原纤维,抑制肌动蛋白和肌球蛋白的结合,导致肌肉收缩能力下降,机体运动能力减弱。疲劳斑马鱼运动距离下降、乳酸堆积、氧自由基(ROS)上升、ATP酶含量降低。
我们评价疲劳有4个指标:(1)行为分析仪检测斑马鱼总运动距离;(2)酶标仪检测乳酸含量;(3)酶标仪检测ROS水平;(4)酶标仪检测ATP含量。
【实验方案】
我们将受测试斑马鱼分成三组,分别是正常对照组、模型对照组和服用抗疲劳剂组。其中正常对照组未经任何处理,模型对照组和服用抗疲劳剂摄入等量的亚硫酸钠以诱发斑马鱼疲劳模型(亚硫酸钠通过溶解到养鱼用水中的方式摄入到斑马鱼体内)。服用抗疲劳剂组摄入亚硫酸钠的同时摄入中华跌打丸、红牛和脉动饮料之类的抗疲劳剂。
服用一段时间抗疲劳剂后,我们检测斑马鱼的总运动距离、乳酸含量、ROS水平和ATP含量。
【结果展示】

图1. 斑马鱼运动轨迹图
黑线:斑马鱼静止运动轨迹;绿线:中速运动;红线:快速运动
可以看到,服用抗疲劳剂组的斑马鱼运动情况与正常对照组比较相似,没有明显的总运动距离减少。

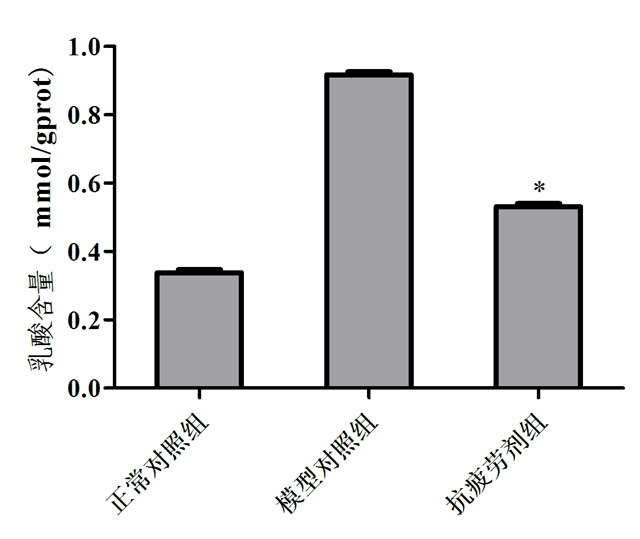
图2. 斑马鱼乳酸含量
与模型对照组比较,*p<0.05
可以看到,服用抗疲劳剂组的斑马鱼乳酸含量比模型对照组明显降低。

图3. 斑马鱼ROS水平
与模型对照组比较,***p<0.001
可以看到,服用抗疲劳剂组的斑马鱼ROS水平比模型对照组明显降低。

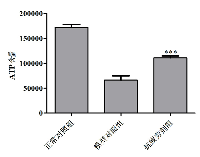
图4. 斑马鱼ATP含量
与模型对照组比较,***p<0.001
可以看到,服用抗疲劳剂组的斑马鱼ATP含量比模型对照组明显升高。
【评价结论】
1.经过每组30尾斑马鱼的对比实验,服用抗疲劳剂组与模型对照组比较,总运动距离明显增加、乳酸明显减少、ROS水平明显降低、ATP含量明显升高。
2.本实验证实了中华跌打丸、红牛和脉动饮料等具有明显缓解体力疲劳功效。
下一条:利用斑马鱼模型评价抗焦虑功效