【评价原理】
过敏原/致敏因子诱导组织学上肥大细胞脱颗粒,释放活性介质如组胺、5-HT,前列腺素D、白三烯、血小板活化因子等,表现为平滑肌收缩,毛细血管扩大和通透性增强,腺体分泌物增多等,诱发多种过敏症状。 类胰蛋白酶是肥大细胞内预先合成的中性蛋白酶,是临床上检验人体是否过敏的重要指标。斑马鱼产生过敏反应时,亦诱导肥大细胞分泌类胰蛋白酶。C48/80作为肥大细胞活化剂,可以诱导组织学上肥大细胞脱颗粒,释放类胰蛋白酶。
我们检测过敏有两种方法。1. 类胰蛋白酶的含量:用酶标仪检测类胰蛋白酶的含量。2. 肥大细胞数量:制作病理切片,经过过碘酸雪夫染色,肥大细胞呈蓝色,肥大细胞释放的组胺和白三烯等物质呈红色。
【实验方案】
我们将受测试斑马鱼分成四组,分别是正常对照组和滴注致敏剂低、中、高剂量组。其中正常对照组未滴注C48/80,滴注致敏剂组均滴注C48/80低、中、高剂量(C48/80通过溶解到养鱼用水中的方式摄入到斑马鱼体内)。
滴注C48/80一段时间后,利用酶标仪检测类胰蛋白酶含量(吸光度值),同时制作病理切片进行过碘酸雪夫染色。
【结果展示】

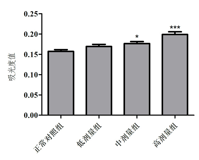
图1. 斑马鱼类胰蛋白酶含量(吸光度值)
与正常对照组比较,*p < 0.05,***p < 0.001
可以看到,滴注中、高浓度致敏剂组类胰蛋白酶含量与正常对照组比较明显升高。

图2. 斑马鱼体内肥大细胞染色典型图
箭头指示为肥大细胞
从病理切片中也能看出来,滴注致敏剂组斑马鱼的肥大细胞与正常对照组相比数量明显上升。
【评价结论】
1.经过每组30尾斑马鱼的对比实验,滴注致敏剂组斑马鱼类胰蛋白酶含量和肥大细胞数量与正常对照组相比数量明显上升。
2.本实验证实了C48/80具有明显的致敏作用。
上一条:利用斑马鱼评价细胞凋亡
下一条:利用斑马鱼模型评价皮肤肌肉毒性