【评价原理】
蛋黄粉中60%为脂类,用蛋黄粉喂食斑马鱼,可以使斑马鱼血液中的脂肪含量快速升高,从而建立斑马鱼高血脂症模型。
经过油红O特异性脂肪染色(与组织内甘油三酯等脂肪滴结合呈橘红色),高血脂斑马鱼血管内肉眼可见明显的脂质聚积,通过静脉注射,可见荧光标记胆固醇的积累。
我们评价斑马鱼降低血脂功效有4个指标:1.斑马鱼血脂表型图;2.斑马鱼总甘油三脂含量;3.斑马鱼胆固醇表型图;4.斑马鱼总胆固醇含量。
【实验方案】
我们先将测试斑马鱼喂食蛋黄粉和荧光标记的胆固醇(蛋黄粉和荧光标记的胆固醇通过溶解到养鱼用水中的方式摄入到斑马鱼体内),建立高血脂模型后,再将受测试斑马鱼分成两组,分别是模型对照组和服用降脂剂组,服用降脂组摄入阿托伐他汀钙、辛伐他汀、洛伐他汀之类的降脂剂。
服用一段时间降脂剂后,我们对斑马鱼整体做脂肪特异性染色,观察体内甘油三酯聚积的变化,以及观察体内胆固醇的聚积情况,同时利用甘油三酯和胆固醇试剂盒检测斑马鱼体内甘油三酯和胆固醇含量的变化。
【结果展示】

图1. 斑马鱼血脂表型图
橘红色脂滴为血脂
可以看到,服用降脂剂组的血脂聚积情况与模型对照组比较明显减少。

图2. 斑马鱼胆固醇表型图
红色为荧光胆固醇
可以看到,服用降脂剂组的胆固醇荧光强度与模型对照组比较明显减少。

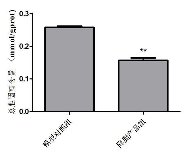
图3. 斑马鱼总胆固醇含量(mmol/gprot)
与模型对照组比较,** p < 0.01
从生化指标可以看出,服用降脂剂组的斑马鱼整体总胆固醇含量与模型对照组比较明显降低。

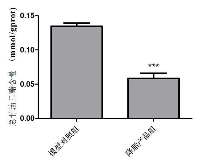
图4. 斑马鱼甘油三酯含量(mmol/gprot)
与模型对照组比较,*** p < 0.001
从实验结果可以看出,服用降脂剂组的斑马鱼整体甘油三酯含量与模型对照组比较明显降低。
【评价结论】
1.经过每组30尾斑马鱼的对比实验,服用降脂产品组的血脂聚积情况与模型对照组比较明显减少。
2.本实验证实了阿托伐他汀钙、辛伐他汀、洛伐他汀类降脂产品具有显著的降脂降胆固醇作用。