药物评价与筛选
利用斑马鱼模型评价抗肿瘤作用
2025-08-20
【评价结论】经过每组60尾斑马鱼的对比实验,抗肿瘤药组斑马鱼生存期较模型对照组明显延长。本实验证实了顺铂、康莱特、沙利度胺···
利用斑马鱼模型评价抗血管形成作用
2025-08-20
【评价结论】1.经过每组30尾斑马鱼的对比实验,给予血管抑制组的肠下血管较正常对照组变小,节间血管较正常对照组失去完整性。2.···
利用斑马鱼模型评价抗细菌感染作用
2025-08-20
【评价结论】1.经过每组30尾斑马鱼的对比实验,服用抗菌剂组的斑马鱼体内细菌数量较模型对照组显著减少,未出现全身性感染。2.本···
利用斑马鱼模型评价多药耐药逆转作用
2025-08-20
【评价结论】1.经过每组30尾斑马鱼的对比实验,服用P-gp抑制剂组的斑马鱼卵黄囊明显比正常对照组的亮,说明其对P-gp有显著的抑制···
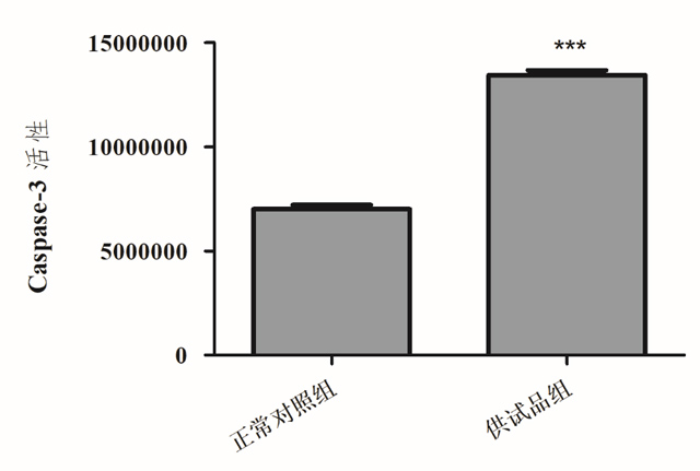
利用斑马鱼模型评价对caspase的诱导作用
2025-08-20
【评价结论】1.经过每组30尾斑马鱼的对比实验,服用/注射供试品组的斑马鱼caspase活性明显上升,与正常对照组存在明显的差别。2.···
利用斑马鱼模型评价Wnt信号通路抑制作用
2025-08-20
【评价结论】1.经过每组30尾斑马鱼的对比实验,服用Wnt信号通路抑制剂的体轴长度和尾鳍再生面积均小于正常对照组。2.本实验证实了···
利用斑马鱼模型评价湿性黄斑变性防治作用
2025-08-20
【评价结论】1.经过每组30尾斑马鱼的对比实验,服用/注射黄斑变性药物组与模型对照组比较,视网膜血管明显变细、视网膜结构较正常···
利用斑马鱼模型评价保护视力功效
2025-08-20
【评价结论】1.经过每组30尾斑马鱼的对比实验,眼保护剂组斑马鱼眼细胞与正常对照组相似,并未出现模型对照组的大面积细胞凋亡情···
利用斑马鱼模型评价胃肠道粘膜损伤辅助保护功效
2025-08-20
【评价结论】1.经过每组30尾斑马鱼的对比实验,服用胃肠道粘膜辅助保护剂组的胃肠腔情况与正常对照组相似,并未出现模型对照组胃···
利用斑马鱼模型筛选胃肠动力抑制剂
2025-08-20
【评价结论】1.经过每组30尾斑马鱼的对比实验,服用胃肠动力抑制剂斑马鱼的胃肠道荧光强度明显比正常对照组亮。